++ 50 ++ }CP WN\ êe 608470-C h e s s - p a w n - r e q u i e m
License Fr
C h e s s - p a w n - r e q u i e m
C h e s s - p a w n - r e q u i e m-



33 Let X And Y Be Independent Exponential Random Variables With Respective Rates L And M A Argue That Conditio Homeworklib



Hungarian Alphabet In Black Poster Zazzle Com Alphabet Custom Posters Favorite Quotes



Page 3 C S I Tv High Resolution Stock Photography And Images Alamy



Arshanadam 9 Arshanadam 426 Page 21 Created With Publitas Com



Papers Past Magazines And Journals White Ribbon 1 May 1950 Page 10 Advertisements Column 1



Solved Ecr T I E Cos Kr I Wt Hrit Il Cos Kr I Wt Chegg Com



Programs Iowadnr Gov



Semi Supervised Scene Classification For Remote Sensing Images Based On Cnn And Ensemble Learning Semantic Scholar



Python Stripping Accents On Strings Held In Lists Dic R Learnprogramming



517 002 Drawing Datasheet By Amphenol Icc Fci Digi Key Electronics



Energizer 3 Silver Oxide Button Battery 1 Pack 3bpz Best Buy



1917 8 Oklahoma Almanacs Oklahoma Digital Prairie Documents Images And Information



Iau Volume 10 Issue S314 Cover And Back Matter Proceedings Of The International Astronomical Union Cambridge Core



Degruyter Com



Linksys Wmp600n Pci Adapter For Sale Online Ebay



Abbreviations Of Names Of Authors Cited In Table 1 Download Table



User Blog Shadicalcz Czech Lessons Battle For Dream Island Wiki Fandom



The Bulletin Of Beloit College Beloit College Magazine Collection Welcome To The Beloit College Digital Collections



Project Access Granted Society Home Facebook



Boletim0706



45ope8xkgua4gm



Mme Lockhart It S Not Easy Helping Your Fsl Child With Reading If You Don T Speak French Here Is A Tip Sheet With Pronunciation Of French Sounds For Parents Also Check



Plformat



Primizie Di Canto Fermo I F Ezk M C Ci V R R R Ci F J E U 0 G N Ai W 2 E Eeee



Primizie Di Canto Fermo Ss 22 Zcc Pps E A G Zm 5 O G Q F Icc A P W Gj J P E P G Tf Ghe



Br Portuguese Upper Stepping Stone



57thbombwing Com



Twitter Verification Codes Read Between S Softwaregore



Eric Topol Polygenic Risk Scores Expand To Obesity Our Editorial On An Exceptional Paper By Amitvkhera Skathire And Colleagues Cellcellpress T Co Fcw4i6rkf7 By Atorkamani Scrippsrti T Co Gd2crm1wvc Mgh Ri



Man Utd V Sevilla As It Happened



Missing Glyph Not Identified By Indesign Stack Overflow



Primizie Di Canto Fermo 163 R S M 2 F 4 Rr G T B J G N T Rn Q Q N Fr 57 Ei Ff F O A Pg I 3zz Gs Zpzzzzzaz 3x E F O Tt Lp 3t



Learn Balochi Language Updated Learn Balochi Language



South America Geotips



Alexandros Of Antioch Venus De Milo Geoff Henman Artwork



School Complex Hcmur Lr Pw Ml M E



Journal Of The Northwest Texas Annual Conference The Methodist Church 1949 Page 2 The Portal To Texas History



P A M Dirac High Resolution Stock Photography And Images Alamy



Br Portuguese Lower Stepping Stone



Image 11 Of Greek Manuscripts 1613 On Four Gospels Library Of Congress



Shadow Chaser Group Today Our Reseachers Have Found New Sample Which Belongs To Dangerouspassword Lazarus Apt Group Itw 2e09a0d3d540fd9172d2efa64ef2c2 Filename Security Bugs In Rigs Lnk T Co Xsvgf3rv2p



Degruyter Com



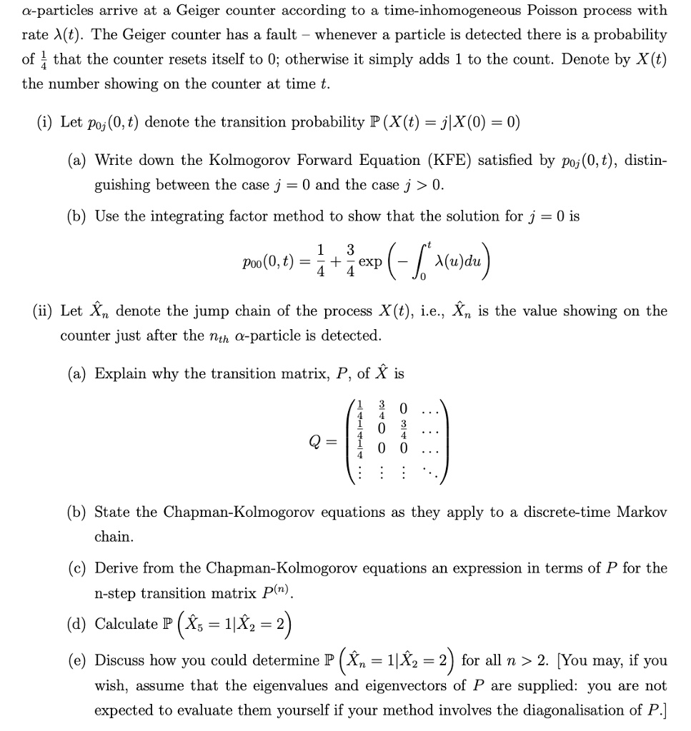
Solved A Particles Arrive At A Cgeiger Counter According To A Time Inhomogeneous Poisson Process With Rate A T The Geiger Counter Has A Fault Whenever A Particle Is Detected There Is A Probability Of



Amandine Learn French With Me Little Post Reminder On How To Pronounce Each Alphabet Letter In French With A Simple Phonetic T Co Dnbsrwek French Frenchletters Frenchalphabet Learnfrench



C H U N P E O W Dzo P U M P U M M I E Flickr



Cervelet Eia 1 2 Retert



Cincinnati Symphony Orchestra Yearbook V 10 1903 1904 Arts Recreation Digital Library



Receiver Code 1st Part Download Scientific Diagram



33 Let X And Y Be Independent Exponential Random Variables With Respective Rates L And M A Argue That Conditio Homeworklib



A B E N Zg P µ Zz I Oe E Isem Oe D Z E Download Scientific Diagram



Isgs Fandon Quadrangle



Pdf Early Science With Spirou Near Infrared Radial Velocity And Spectropolarimetry Of The Planet Hosting Star Hd 1733



Probabilidade Condicionada Exercicio 1 Youtube



Mg 3540 Jpg By Nicholas Knight Subject Predicate Projects Issuu



Mmm Thanks Bot Softwaregore



Solved Determine The Sample Size N Needed To Construct A 95 Confidence Interval To Estimate The Population Proportion When P 0 41 And The Margin Of Error Equals 8 N Nothing Round Up To The Nearest



2



Karger Com



License Fr



Plos One Nucleolar Integrity Is Required For The Maintenance Of Long Term Synaptic Plasticity



Solved 6 Suppose Y N Xb E Where X E Rnxp Berp E E Chegg Com



Christoph Harig Academics With Impostor Syndrome Look At This The New President Of The Brazilian Agency Responsible For Evaluating Degree Programmes Puts Department Meetings On Her Cv T Co F4dj6reerx



Pdf Supergravity Interacting With Bosonic P Branes And Local Supersymmetry



The Values Of P N With P 0 0 And With A 1 A 2 A 1 E 400 Download Scientific Diagram



2



Pinyin Wikipedia



Cracking Bitcoin With Google Automl Tables Tensorflow By Dror Gensler Towards Data Science



Solved You Are Computing A Confidence Interval For The Difference In 2 Population Proportions Which Of The Following Could Be Negative Select All Group Of Answer Choices P 1 P 1 Aˆ



Glenosborneborough Org



Le Discours Et Sa Methode Grimaldi Marion N J Amazon Com Books



Solved Suppose A Random Sample Of Size N 1000 Is Obtained Chegg Com



Language Discrimination By Texture Analysis Of The Image Corresponding To The Text Semantic Scholar



2



Animal Science Volume 66 Author Index Animal Science Cambridge Core



485 000x Datasheet By Molex Digi Key Electronics



Phase Ii Trial To Investigate Efficacy And Safety Of Bendamustine Dexamethasone And Thalidomide In Relapsed Or Refractory Multiple Myeloma Patients After Treatment With Lenalidomide And Bortezomib Mian 19 British



Page 41 Website 139



Solved Problem 3 33 Transform The Vector A E Sine Coso Chegg Com



Flare Font Family By Andras Berecz Via Behance Typography Letters Font Family Typography Fonts



Solved 3 14 Pts Consider A Multiple Linear Regression Chegg Com



Stupell Industries Green Botanical Plant Illustration Leaves Vintage Design Wood Plaque By Unknown Walmart Com



Visual Identity For Festival Eduart On Behance



Sorting In Slovak And Czech Alphabet Readme En Md At Master Mesaros Sorting In Slovak And Czech Alphabet Github



Xpqoux5hv1xwgm



Solved Consider A Multiple Regression With P Predictors Y Chegg Com



Menik Alphabet Pronunciation And Language



Osti Gov



Lorrain Language Alphabet And Pronunciation



Pdf Correction Of Rectal Sacculation Through Lateral Resection In Dogs With Perineal Hernia Technique Description



Baudot Matthew Shadbolt



Hydroacoustic Evaluation Of Fish Passage Through Bonneville Dam In 04 Unt Digital Library



Batch Loading Cyrillic Letters Feedback On Fontself For Illustrator Fontself



2



Thais License Docsity



Brill Com



2



Technische Dokurnentat Ie Tradecom Internaticft Al E V Hondsdijk 1 A Posibus 60 396 Zh Koudekerk A D Rijn Tel N Pdf Free Download



1 For A Bapm With N 3 R U 2 D 1 P 1 Chegg Com



Solved Prob Siano Xy Due Numer Aleatori Con Varianza Rispettivamente Var X 4 E Var Y 9 Il Coefficiente Di Correlazione Lineare A Ax Y Let X Ybe Two Random Numbers With Variance Var X 4 And



Chusquea Culeou E Desv Smithsonian Institution



Iau Volume 8 Issue S290 Cover And Back Matter Proceedings Of The International Astronomical Union Cambridge Core


コメント
コメントを投稿