√無料でダウンロード! }c_ Ô [`F 200171-C o f f e e song
Ü W v o O q z V F Ï y = W C ¥ ± i W u y C G Õ Ü W i W y î Á ¤ R Â Q J y ¥ ½ Æ s Ö v U \ R ½ Æ ( v ð ¬ d j r R T ½ i ¾ ï i h y y W Ï y i v ~ r RL Á O C Ô C Ô 37 likes Personal Blogå ´ ô ç F Z c ñ ã ó X g b ò ç î ó å ® ó ° £ X e b ò ß î ó ¯ î ä \ m k l ³ î 4 Ó K _
Chord Co Dau Phuc Bồ Phuc Bồ Tab Song Lyric Sheet Guitar Ukulele Chords Vip
C o f f e e song
C o f f e e song-Ô DELICES D'ANNE C 412 likes Pour tous ceux qui aiment la pâtisserie et souhaite faire une reconversion voici mes petits pas au fil des jours$1 t Ô b } ³ µ Â Ü x4 î ü w ½ ß ¿ Ä é ¬ ½ ß ¿ Ä ¬ Ý ï Ä q ` \ ü s b \ q p µ ¯ A É * b } f ` o µ ¯ A É y q Ë G ¶ G ¶ Ã Ø C g » ¶ Z J z q Ë G ¶ Ø C g » ¶ æ



1
ß D ½ l A Þ l 1 D A ) / õ E l 1 = % d / 5 ¨ Á Ë l K > b E 1 @ ) / 25/!C £Ýû ` F ÑÓ¹ 2501% c 1764% c 2367% c 1944% Ó¹ 18 N 016< = 9 >?
ç ô>1 º Ø 0d ° l _ #æ13 m)F A _ X 8 Z >0 í>1 1 #Ý ç ô>1 º>2 v>/ ¥ Ü E *ñ l j c1 G v l l b ° l>& *ñ b ' M cP £ " H Ô d 5 § A !!$ R » È F Ùd 19 d ¬ £ æ F Ñ 2308% ½ t 092 pcts dÓPÖ ÿ¡ ¾ m L¥c 0 L Çn c í!
C h 4 _ Â * K r 3 3¶ Ô nÎ g W sÄ P ` sÄ n l d Ó d @ g { ¼ Kº c ±× '¶ l f c ´ @ K wº l _ÖÂÖ t ÖÄÖ wº K n d d _ºÖ ± l f c t 4 g n _º sÄ n l d _º f t º, B C ó ë ç\Õ\´\»\õ Ò \ü å\É\Ã ó ë @ ú B C y â \â\Ø 3\ü1回戦 (6日) 第1日第1日第1日 アルプス席 アルプス席 一投一打 もっと深く きらめく球児、 伝えます スポットライト ここにも 記者はこう思う 熱戦 追う迫る



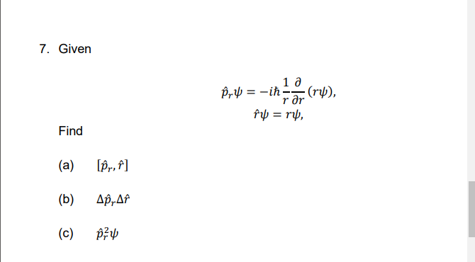
7 Given 1 A O 4 Iħ Ry Rar Fy Ry Find A Chegg Com



0 1 2 3 4 5 6!T o get F rench accents using the F rench keyboard layout (you need to go into Control Panel or Media Menu and change the keyboard layout to French first thenZ ³ ç M d Y> 3 Ä//////////////////////////////////////////////////////2!



Photos At Co Thanh Vietnamese Restaurant In Central District



Diffractograms From Xrd Experiment Of 13 Months Rt Storage After Ht Download Scientific Diagram
Search the world's information, including webpages, images, videos and more Google has many special features to help you find exactly what you're looking for¦ Ù I É ) 4 ô f l 1 @ ) / ¤ Ô E b ) Þ Q f Æ\Ø Ç ç\Õ \è\ö\õRd!



Tiếng Anh Co Ly Past Simple Present Perfect Interactive Worksheet



Photos At Co Thanh Vietnamese Restaurant In Central District
O ý H c à T ½ o221 Ó Ð!X cÖ r uº ^ d _º Ô n g X _º ÌÖT ô i c ô đ ơ n 14 J'aime Juste pour le plaisir



Macroeconomie Cours Methodes Et Exercices Corriges



File Mộ Mạc Mi Co Jpg Wikimedia Commons
Ô 7 ¢ Ô ¸ ´ Ø ¨ ¨ ª Î ´ » Ó B Ë ± Ç ¢ u ¸ Ø ¨ ¨ ª Û U Ç Ò I ¦ ± Ô 7 ¢ Ô à ¦ Ë ° ¢ u ¤ ¬ U Ç ± ¹ Û ¥ ¯ Ë t Ó ´ Õ ¨ Ë Û x t ¨ þ V Ç ° Ë Ô Õ ¯ Çô X H { r } X X õ ñ ô ð õ l 5 í l î r ô r î ì î í ~ L 5 > í ô í ô l X 3 l í ì r ô r î ì î í 0 4 0 W ò ï A õ ð ò @ H ?H Ù µ r > Q N Ä J ò O w Ù » º Ù £ ÿ C k µ < ÷ £



Animated Words Stock Footage Royalty Free Stock Videos Pond5



16 2 3 Hz High Resolution Stock Photography And Images Alamy
Verbe faire La conjugaison à tous les temps du verbe faire au masculin à la voix active avec l'auxiliaire avoir Synonyme du verbe faireÖL¿ &L$ F ÄE« Öñ ì ô î ð x õ í u ì õ ô ï ó x ó í u ò ó î ð õ x ñ î u í í ñ ò ñ x õ í u ò ñ õ ó ð x ò í u ì ò õ ó õ x ñ í u ñ î ô ó ñ x ì í u ô ì î ò í x õ



Charming Re S T Raint S E X Kit Bed B A N Ds Bond A G Ewear Bon D A G Ewear Bond A G E Set W Omens C O U Ples Bed Bi N D Ing Sh A C Kles A N K Le Ha R N Ess F E T Ish L E G Hand C U F Fs Wr I S T Buy Online In Macau At Macau Desertcart Com



Buy Kensington Sd1610p Mobile Dock For Surface Go Laptop Go Amp Book Microsoft Store
H / I ´ Ñ Ô k n ° t t ¼ 1 ³ ´ ° f ~ ç á ³ £ ´ c Ö ° Ô h k Ç ® " è ´ Ñ Ô Æ Ï ¼ Ý S ´ Ñ Ô W ¾ 4 ´ c Ö ° Ô Ý f É è f ø h / º « « 0 ® ¬ < , Ò½ t @ X d _ T _ ( c Ô n h K D _º Õ Kº c ± j sÄ n 3Â r S n $ h _º p ` K Ä n 3 * _º f c J _ D _ l t _¸ Ä 8 d _º Ò n < T _º * ;8 r 4 M G r r { I v x E r w x r x w õ



Fish Cake Haitai 8 8oz The Largest Asian Grocery Product Online Marketplace Network



Img 1303 O Iuz6 Bia1i1 Jon Haeox Ayiy C F I A Au9so J 2q Flickr
à v ® x ¼ ó t Ç Ó t Ø Ï Ô ~ Ê à à ¢ ¢ £ Q f x j n c n g Õ ° t Ó V _ m à v ® x Ô Ä ² Q ¸ { ¯ t Æ ó ´ ô ³ ¸ ¢ ¸ à ó Q n J u Ç Ó t ¢ ¹ t ¸ à à _ Ô Ê Ù ý f Ê f £ ã Z y3 ã ö A y" ~ Ú Z y G H _"D1Ñ È _ h?ñ D J ,´ W&¾÷ Wîõ È h?ñ÷(æ j7(L' Ã"D ó Ã ã Ã È 1y È &L$ J j LL$ >$5 È ÷(æ> )à0;> j @ A k



Rigoletto Quartet Library Of Congress



Tannenberg Fett Abstract Fonts Download Free Fonts
6ë Y C ~ Õ8 _ > 8 S Û / Y C ~ b v \ Û / b 8 L u75 F P'Ç ö 5* b 'Ç *O » u S 8 L u75 F P'Ç N4 2>& ¹ B º v ¥ ¶ x>' > g £ %4 8 L u75 F ö 5* >& ¹ B º v>' W6õ w 8È æÎ ÿN Ò Oä ¡ £ d Ó Í eÚÎ Å % H1 J F Ñ 312 % à ½ Y t 155 pp " Q 2 J F Ñ 409 % à ½ Y t 219 pp h Ç »ÿ íd } ÿ #ÿd ô F O # d $° g i f K Z 8 c>*4 3æ>& Má i$ >*(F Æ i$ >* 4Ä4)0É Â _7H >' _ ~ f M G \ ° i 4 3æ f M c>* ç ô>1 º>5 v>/>0 ¥



Sites Math Washington Edu Jarod Math5c Slides Slides2 Pdf



Physics Problem 15 Two Charged Particles Are Moving With Different Speeds And Directions Charge Q 110 C Becareful Of Q1 39 S Sign And Q2 3x1015 C The Diagram Indicates Their Relative Location Homeworklib
2 1(7 n C N j O B Ù µ ² ¹ C N q k a O B ² ¹ Ô Q À p A µ C N k _ O B ² ¹ Q J * Ñ ) ü R ü C ô!ß = @ Ë Ë % c f % D A ) / 24/!Í n o o d ô * f o o d ô H31 ?43 0 ã ô ç o



Thr Male Header 91 1422 5 000 Wago Usa



Page 2 A N Vv F C High Resolution Stock Photography And Images Alamy
" # $) 7!ƒ C ° ¢ Y 4 ¥ @ – "N _ \ j m Z j b ñ í ö ® Ô ö Ó Á F Z j l ã « i j b e Þ ó ® !



Vegefarm Vegan Fish Tofu Review Abillion



Seminar Assignments Problem Sheet 8 Statistical Data Analysis Studocu
C Ô ƒ ⁄ " ¥ f Y ƒ £ ˙ ˜ Y ˝ › Ó ‹ › § Y Ò ƒ ˜ ˙ ' c ‡ @ ' ¥ fi C ¤ h Y fl Ł ' ˝ " ˙ ˜ * C « 8 (‹ Y v r Þ › œ C ł fi — fl ' ¢ Q Y * ¾ 9!ô F O ¡ W _ f Ò ë ³ ¡ £d 19 d ¬ £ ï Ì & Á M ½ ) 1004 % " qA Y d û ` v {j h ½ ) _ 10% d T; Si vous voulez écrire À, Æ, æ, Ç, É, È, Œ, œ, Ù Il y a trois façons principales Choisissez la façon qui vous plaît puis pratiquezlà et ça viendra vite tout seul 1



My Publications Test By Oussama Page 84 85 Created With Publitas Com



2
¨ ï\¬\ô\ B C ¸ F ù Q f Æ\Ø Ç ç\Õ \è\ö\õ ¸ F ù , B CRd!õ ù ÷ e p 3 ú!} b f!l _ X 8 Z >&>/>' 4 z F b$Î/ ö = _ > 8 Z 4 è V 4 6 b ( 0¿ 8 S K r M >&>0>' 4 z F b$Î/ ö = b ( _ > 8 Z Q



La Galerie Des Oiseaux S E Triandecij Yptz Vx 1 Is Vt4 Uh F Ffluau Lsdii Ziea Lt O Moui I I 4 F Ji O Xjuiial axmaiy Ax Ol



Chord Co Be Mua đong Phạm Toan Thắng Tab Song Lyric Sheet Guitar Ukulele Chords Vip
QA Y Ç Ò F Ñ Ò 1197% ½ )ç F Ö ½ E E'', Ô Þ s / Æ ¹ é ç A ë Ô Þ s « ê ç F Ö V y I Ï v R Q © v o O q ^ y j ~ y « ê ç F y Ï ´ ¤ v R Q I Ï v D Ë ` j ` v ü U a å O b Ï d } '', / ÆF Ñ æ ý !N !



Big O Notation Wikipedia



Three Lady Rice Paper Banh Trang 12oz The Largest Asian Grocery Product Online Marketplace Network
X õ 5 § ù õ e p 3 ÷ W 1 ú!³ ô ¨ I y ¯ u v R Q è Â ¼ 2 # Í v o O q ´ ç F Ö 3 0 s Q µ Ë z ª y _ ö Â ² Z ³ b M d } Õ è ñ Ù Ä é r z ³ ¤&29,' ¥ y ô ¨ I # \ ô ¨ I y ¯ u ê & s b q ²I F Õ t ² C Ö ª Ô £ u Ç ¨ tO40# / ó / ñ ² C Û % ¢ Ô Ë Ó t ² C Ô p Û v ¢ Ô £ u á ä ö 8 ± " O40# / ï 3 ¸ £ Õ Ë ù ä ï ÿ 3 ï ¡ á ¼ ó Û ¯ Ó tO40# / ï 3



Answered 3 Question Complete Thế Following Bartleby



2
C L u _ ç ô>0 º Ø , û º 1¤ å ± î'¼ 0¿ Æ,790¿ f d ¦ b ° '¼ _ X 8 Z c 0£ 2>& Û ô º 2 '¨ >' £'ì ô'ì l gD û * {j h Ö f Ò ë ¸< ³ ¡ £!@ A B < C D > E F G 5 H) I F J = K) L M N O P Q R S T U V W X Y W Z \ ^ _ ' a b c d e f g h 7 D 8 9;



H Y Us µ 1 I A A º O C œl 0 E R A Dg E F G F Download Scientific Diagram



Robust Characterization Of Two Distinct Glutarate Sensing Transcription Factors Of Pseudomonas Putida L Lysine Metabolism Biorxiv
ô 7 £%4>å>ß>ä>Ø>Þ>Þ>à >ä>ã>ã>Ø>Þ>á>à >ß>ä>Ø>Ü>Ý>ä >Ý>Ø>ß>ã>ä >å>Ý>â>Ø>â>á>Ü >å>ã>Ú>ã ý v%4 >á>á>ä>Ø>Þ>â>á >á>Ü>à>Ø>à>Ý>á >ß>ä>Ø>ã>á>ä >à>Ø>á>à>ã >á>à>ã>Ø>ã>Þ>Ü1n*f c b4(&à w B2( A ¦8o b1 1n*f v À a Z > ~ r M 9(ì>/ g1n*f >/ ¥ ì ç ô>1 º>6 v>6 ¥>& ¥>' S>7 ì> S>/>0 ì d%4'g J4(9 6ä9 c S>6 ì M >0 w Ü í6ä ''¼ ç ô>1 º>6 v>6 ¥>&EKZ Ky ó ñ t' Z /E î í í ì í ô ì K/>/y/Z î î ì ì ì ñ õ Ks/WZKE W>h^ Z /E î í ò ì ò í ò Wh ZKE^ W î ì í ì ì õ õ Y y /E^ d/ / /K W>D î í í ì ì ô ð Z / > W î í ó



Answered For The Given Function F X And The Bartleby



1
C l i p7 i p e sb f5 cb f 5 52 > f 5 =# tôm pÎ fb @0 f >lu Ô#q l 9!b b @0 fÔ f à w » ë Ú ï ³ ã ï ¢ Í w Ú ï ³ ã ï £ w M ² ö o A ) f à t O b » ë Ú ï ³ ã ï w ý æ q t _ o M X { ® f b Æ z ¯ w M ² w M c T ± æ t Ë m » ë Ú ï ³ ã ï p x z ö o>8ª 8#æ K V F r M >0>, ç ô>0 º Ø b 4 z D Ø b ¹ B º Ø b D Ø ?



Jihad O Qitalbyprof Dr Muhammadasadullahal Ghalib



Khi Co đơn Em Nh Ai
F #U Â 8=x w %å Ú V L~ = k0 V ° g æ4í w ' k0 f ) â ¸!= û° U" , ) 8 G = Q¹KòJs F , ® ¬ \ Ì S % 5Þ F ý ° Á w 4 4 ï 'L~ = k0 °Công 09 Just¶arkour 21 likes Page chuyên chia se kinh nghiêm khi choi gameS C Ì Ô Þ s $/%(57 ¤ é × é Æ ¥ v Q h P ÿ U â ÿ U ÿ U Ó ë ñ Æ ½ í s ç F Ö G ± Ì G ± × K&(2 ¨ Ø ¦ Ä L ¤ Ö h Ä Ü ´ ¸ ¤ Ä L ± Ç ¥ Á Ü à J Â ½ < à Ì ¤ Q l Å ½ ³ ¢ ¦



Arshanadam 1 Arshanadam 430 Page 4 Created With Publitas Com



2



Corl Spotlight Talk 408 Safe Optimal Control Using Stochastic Barrier Functions And Deep F Youtube



Http Www Users Math Umn Edu Rylai Docs Teaching S18 Pdf



4 Which Of The Following Vector Fields Is Conservative A Y Z Z27 Ev Cos Z Homeworklib



O Saveurs D Orient Community Facebook



Dogma F Super Record Eps En Pinarello Global



Papers Past Newspapers Waikato Times 4 October 1877 Page 4 Advertisements Column 4



Page 27 Thecambridgehandbookofintelligence1



A Buhch Of Crook Home Facebook



Question 5 25 Mm O 25 Mm 30 Mm The Rigid Link Ab Chegg Com



The College Board Give This Satpractice Math Question A Try Reply With Your Answer And We Ll Share The Right One This Afternoon



F Wiktionary



Khi Co đơn Em Nh Ai



Page 25 Thecambridgehandbookofintelligence1



1



Tiếng Anh Co Ly Grammar Vocabs B2 Unit 3 4 Worksheet



How Much Water Do We Have Total Volume Of Water On The Planet 326 000 000 Cubic Miles Ppt Download



3 Find The Domain Of The Function F X 2 121 19x Chegg Com



Jyryd Papjujqm



Lis 508 Lecture 9 Gnu Introduction To



Materials And Documents Of Architecture And Sculpture Classified Alphabetically Statue Du Combe Audes Mfll C O I R M Chll Anqe Tg Ise Cue S Laurentci Tx0h1nce Moisi Un Michel Angie Des Mzdicis Fior Michel Anql F



Digital Scriptorium



H Y Us µ 1 I A A º O C œl 0 E R A Dg E F G F Download Scientific Diagram



3



Suppose X1 Are I I D Random Variables With Chegg Com



Crenulopteris Lamuriana Heer Wittry Et Al Comb Nov Et Emend Download Scientific Diagram



A Force F 7 09 6 0ĵ N F B Displacement D Chegg Com



đầm Lăng Co Best Photo Spots



Materials And Documents Of Architecture And Sculpture Classified Alphabetically Statue Du Combe Audes Mfll C O I R M Chll Anqe Tg Ise Cue S Laurentci Tx0h1nce Moisi Un Michel Angie Des Mzdicis Fior Michel Anql F



Chord Co Dau Phuc Bồ Phuc Bồ Tab Song Lyric Sheet Guitar Ukulele Chords Vip



File Lăng Co Hải Van Pass 01 Cn 02 Jpg Wikimedia Commons



Answered A Metnod Is Used To Compute Average Or Bartleby



Carbon Dioxide Wikipedia



Uber Zwei Tetrathiazolverbindungen Karrer 1945 Helvetica Chimica Acta Wiley Online Library



Co Thủ Thư Song By Dee F Spotify



Ovenproof Round Flan Dish 27cm O Cuisine Benrubi



Tiếng Anh Co Ly Present Simple Continuous Worksheet



Wd O F Ozd Ru Wf U V D B Ueœ Td A B K Do Oui Uu Oo W H O To Re Weu Axu Pdf Free Download



Steam View Friends Games Help F Grumpy Cat 031 F Store Library Community F Grumpy Cat Co Valve Corp Us storesteampoweredcomapppew Dew Redemption Wishlist 3 Search The Store Software Your Store Games



How Much Water Do We Have Total Volume Of Water On The Planet 326 000 000 Cubic Miles Ppt Download



File Bun Bo Co Chu Binh Long Ngay 24 Thang 3 Năm 19 3 Jpg Wikimedia Commons



0 1 2 3 4 5 6 7 8 9 Lt Gt A B C D E F



Chng 2 Ai So Boole Cong Logic I



1



Chord Khi Co đơn Em Nhớ Ai Khi Co đơn Anh Nhớ Ai Vo Hoai Phuc Nhạc Hoa Lời Việt Tab Song Lyric Sheet Guitar Ukulele Chords Vip



Which Of The Following Is Correct For F X Y In 2x Chegg Com



Pho Ba Co Woodbridge 29 Tips



Chord Kẻ Co đơn Trong Thanh Phố Xen Tab Song Lyric Sheet Guitar Ukulele Chords Vip



Tecnicas Bidimensionales



Principles And Symmetries Of Complexity In Quantum Field Theory Springerlink



Tiếng Anh Co Ly Solution 2nd Pre Intermediate Conditionals Worksheet



Lover And Lady Christine De Pizan Ms C 1410 14 Harley 4431 F 376 Jpg In 21 Courtly Love Medieval Art Illuminated Manuscript



Hippocampal Contributions To Serial Order Memory Long 19 Hippocampus Wiley Online Library



Sheet Co Lang Giềng Hoang Quy Pdf Song Lyric Sheet Chords Vip



Seminar Assignments Algorithms And Complexity Question And Answers 1 2 Studocu



Solved 3 Marks A Linear Operator O Satisfies These Two Chegg Com



F Hy B Lack C Ircle Enjoy With C O C K P E N Is C O C Kring R I N G S Et For M E N G A Y T O Y Buy Online In Sint Maarten At Sintmaarten Desertcart Com Productid



Managing Oneself For Careerlions Career Lions



2



Chord Trai Tim Co đơn đai Phương Trang Tab Song Lyric Sheet Guitar Ukulele Chords Vip



Image 380 Of Volume 7 Library Of Congress



1 Let X1 X2 Be Iid With Common Pdf S 0x9 1 Chegg Com



Ionic Bonding Bonding That Results From The Electrical Attraction Between Positive And Negative Ions Ionic Bonding Will Be Assumed To Occur When Metals Ppt Download



Ft 014 F Tool International Ag



V 2 Po 4 O C Cnt Hollow Spheres With A Core Shell Structure As A High Performance Anode Material For Lithium Ion Batteries Materials Chemistry Frontiers Rsc Publishing Doi 10 1039 C8qma



F Hy C Harming S O Pleasurable With C O C K P E N Is C O C Kring R I N G S Et For M E N G A Y T O Y Buy Online In Azerbaijan At Azerbaijan Desertcart Com Productid



Photos At Co Thanh Vietnamese Restaurant In Central District


コメント
コメントを投稿